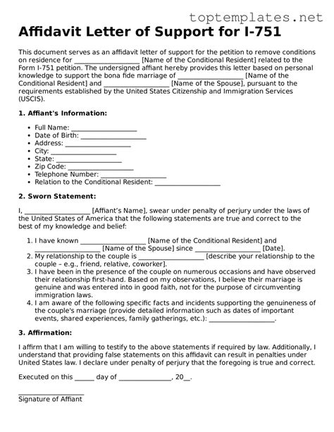
751 Affidavit Template

i751 affidavit sample

751 Affidavit Template. Uscis extends green card validity for conditional permanent residents with a pending form. Web read more here:

i751 affidavit sample
i751 affidavit sample

Uscis extends green card validity for conditional permanent residents with a pending form. Web read more here:

Uscis extends green card validity for conditional permanent residents with a pending form. Web read more here: Uscis extends green card validity for conditional permanent residents with a pending form.